动态规划-切钢管
动态规划(dynamic programming)是一种分治算法,可以解决一类拥有特定性质的问题:
- 重复子问题
- 最优子结构
切钢管问题
已知长度为的钢管的的售价为,现将长度为的钢管切任意次,求所有片段的售价总和最大值及切割方案。
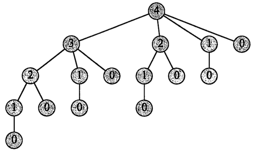
直观的看,对于长度为的钢管可以尝试在长度的位置“砍一刀”得到一根售价为的钢管和一个子问题,得到一个递归式。
画出的递归树,树中有多个重复子节点说明问题满足动态规划的性质之一重复子问题。

最优子结构可以通过cut-paste方法进行反证。假设为最优解, 而不是最优解,那么会存在另外一个,使得为最优解,与为最优解矛盾。
切钢管问题简单之处在于每次切分后只会产生一个不重叠的子问题,对于一般的动态规划问题,也可以通过这种方式进行证明。确定问题的递归式和最优子结构性质后,就可以自底向上递推得出最优解。
func CuttingProblem(price []int, length int) int {
dp := make([]int, length+1)
for i := 1; i <= length; i++ {
for j := 1; j <= i; j++ {
dp[i] = max(dp[i], price[j]+dp[i-j])
}
}
return dp[length]
}
动态规划中问题的最优解都是由当前问题的解和最优子问题组成,因此我们可以从后向前回溯,将所有解拼接起来得到最优解的路径。
func Path(price, cuttingPoint []int, length int) string {
if length > 0 {
return fmt.Sprintf("%s+%d[%d]", Path(price, cuttingPoint, length-cuttingPoint[length]), cuttingPoint[length], price[cuttingPoint[length]])
}
return ""
}
func CuttingProblem(price []int, length int) int {
dp := make([]int, length+1)
cuttingPoint := make([]int, length+1)
for i := 1; i <= length; i++ {
for j := 1; j <= i; j++ {
if price[j]+dp[i-j] > dp[i] {
dp[i] = price[j] + dp[i-j]
cuttingPoint[i] = j
}
}
}
fmt.Println(Path(price, cuttingPoint, length))
return dp[length]
}